為了減少溫室氣體排放并促進資源回收,歐美不少污水處理廠都在進行升級改造,以實施能源、營養物和碳回收的新技術。聽上去這是一件很值得做的事情,但其潛在的環境和經濟影響究竟如何呢?因為真正完成資源回收轉換的污水廠并不多,這方面的文獻也比較欠缺,為數不多的文獻研究大多也是基于模擬而不是實際數據得出的推斷結果。
最近,以丹麥技術大學(Technical University of Denmark)為主的團隊,基于實際數據,對丹麥首都哥本哈根的一座已經實現資源回收的污水廠進行了評估,其結果發布在IWA期刊《Water Research》中。

圖:丹麥Aved?re資源回收工廠 | 圖源:BIOFOS
丹麥的資源回收工廠
丹麥的污水資源回收走在行業前列,例如哥本哈根的水務公司BIOFOS在2017年就推出了名叫VARGA的項目,目標是將旗下的Aved?re污水廠升級轉化為資源回收工廠(WRRF)。目標是在2025年前全面實施污水的資源化利用。

圖:VARGA項目位置圖 | 圖源:projekt-varga.dk
這座污水處理廠的設計規模為40萬人口當量,實際處理規模約為27萬人,年處理量約2700萬立方米。它有一系列的創新技術,包括:
對原水進行預過濾和初沉污泥的濃縮,提高有機質的碳回收,這能提高甲烷的產量,降低污水處理的能耗
實時 N2O 控制、減少曝氣過程的溫室氣體排放
污泥灰渣的電解磷回收
脫氮能耗的優化
通過加氫升級生物沼氣生產工藝
通過有機廢棄物分類和協同消化提高沼氣產量
在這次研究里,丹麥人將生命周期評估(life cycle assessment,簡稱LCA)和經濟評估相結合,對Avedore資源回收工廠上述的創新技術進行量化評測。他們想通過這次研究回答以下四個重要問題:
污水處理廠向資源回收工廠 的轉變在環境和經濟上是否具備可持續性?
會影響哪些利益相關者,污水廠改造后他們的經濟價值將會如何改變?
環境和經濟可持續的資源回收工廠的主要熱點和不確定性在哪里?
環境和經濟影響之間或不同環境類別之間是否存在取舍?
如下表所示,他們設定五種循序漸進的污水廠改造方案,包括:

五種方案的細節可以參考下表:
為了便于LCA分析,他們將污水處理系統分為前端和后端兩部分。如下圖所示,前端工藝包括污水的進水和處理、污泥管理、出水排放和各種創新技術。后端工藝則包括和污水廠直接相關的上游外部流程,即電力和熱力、原材料需求和化學品,還包括新的替代方案下產生的下游產物,例如天然氣、熱力、化學品、硅砂、磷酸鹽底物和人工肥料等。

圖:水資源回收工廠 (WRRF) 的主要系統組成及邊界設定(WP:實施不同資源回收技術的工作包)
經濟評估方面,他們通過利益相關者關系的繪制來闡明污水廠的資金流向,見下圖。并參考國際標準《產品系統的生態效益評估原則、要求和指南》(ISO 14045: 2012),用經濟指標來定義價值創造,把總增加值 (TVA)作為衡量經濟影響的指標。

如下公式所示,作者們列出了四個利益相關者,分別是水用戶(VA-Water User)、污水運營商(VA-Wastewater Operator)、磷回收公司(VA-P-recovery Company)和政府(VA-State)。每個替代方案的TVA值都是四者的TVA值之和。

其中,水用戶的經濟價值定義為每個替代方案的預期污水費 (EWWF) 與實際污水費 (AWWF)的差值。
根據成本完全回收原則,污水處理運用商的VA值為零。磷回收公司的VA是利潤(營收-CAPEX-OPEX)。政府的VA是填埋稅費+排污稅費。
這個污水廠每年大約處理2700萬立方米的污水,其中COD、TN和TP的污染負荷分別為16484噸/年、1300噸/年、193噸/年。總氮變氮氣的轉化率約為77%。
在常規處理方案里,大概有2.6%的總氮轉化成N2O-N,大部分是在硝化/反硝化的過程中釋放的。這個數值已經遠高于國際氣候組織IPCC在2019年建議的1.6%的限值。
他們的數據顯示 ,N2O的實時控制能更有效的將這個數值降至1.6%。
側流厭氧氨氧化,一方面雖然能用更少的能耗去除廢水的氮負荷,但也增加了N2O的排放,研究表明,厭氧氨氧化去除的TN有2%-8%轉化成N2O。他們估計配置了側流Anammox的資源回收工廠,TN→N2O的轉化率約為1.7%,另外還有17%的TN轉移到污泥中,有8%的TN留在出水中。
表. 各種工藝中TN/TP/COD的去向分布
另一方面,93%的總磷轉移到污泥灰渣,之前一般是作填埋處理。磷回收技術能回收灰渣中95%的磷含量,約171噸/年。
而一般的甲烷回收技術方案里,34%的COD轉化成能量,如果增加預過濾技術,可以有額外的8%的COD進入厭氧消化系統。
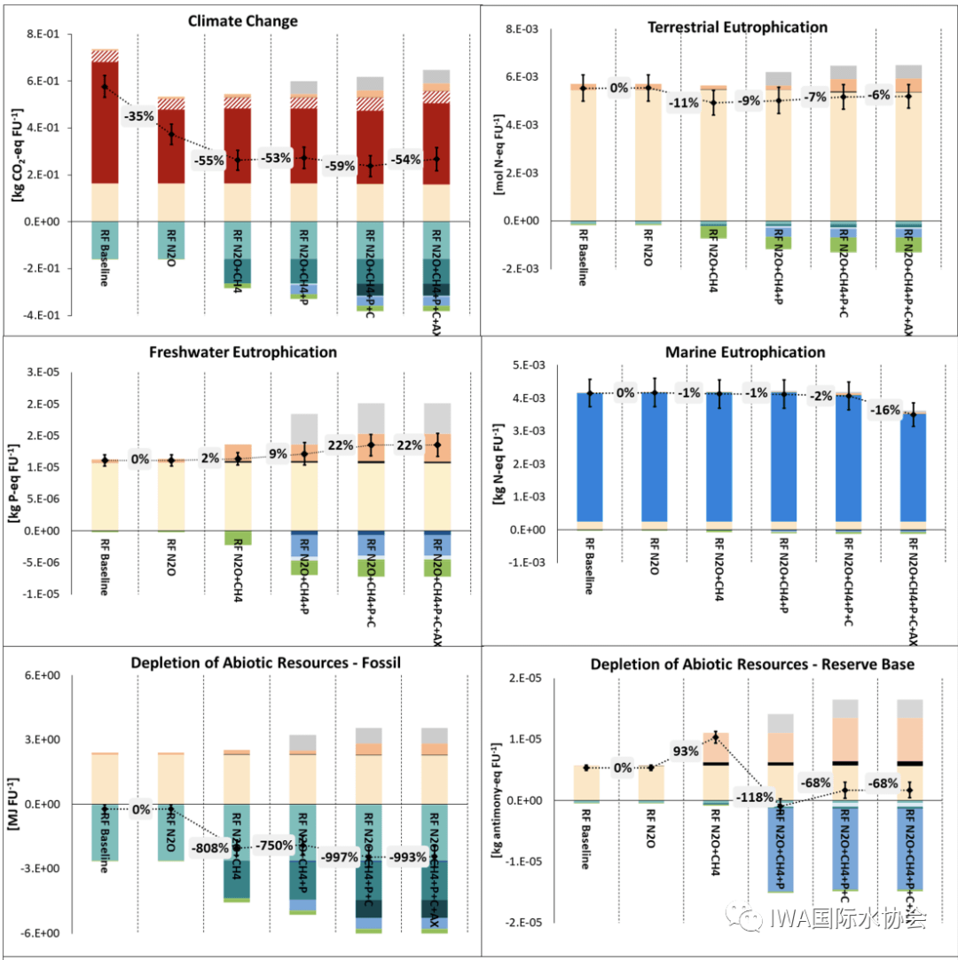
那這些替代方案的環境影響表現如何呢?如下圖所示,N2O的實時控制、生物沼氣升級和預過濾可以減少氣候變化和化石資源枯竭的影響。其中:
實施N2O 實時控制能減少40%的N2O排放量,氣候變化 (CC) 對削減量的影響最高(可減少35%),但對其他環境類沒有顯著影響;
因為生物沼氣升級替代了天然氣的消費和生產,有助于平衡直接和間接的氣候變化影響;
污泥灰渣處理的主要優勢在于磷的高回收率(95%),通過替代磷酸二氫鈣的常規生產提高 LCA 表現;
預過濾雖然一方面能減少13%的氣候變化影響,但對其他方面的影響程度卻有所增加;
加強側流脫氮雖然可減少14%的富營養化影響,但因為有潛在的N2O釋放,使氣候變化影響增加了 12%。

經濟影響
在經濟影響方面,研究團隊發現,除了N2O的實時控制外(僅有助減少0.2%的成本),其他替代方案雖然改善了環境,卻都增加了經濟成本。他們認為,這結果說明了大型污水處理廠如果想在未來幾年里升級為資源回收工廠,需要在環境效益和經濟效益之間有所取舍。

小結
丹麥的這次研究表明,污水廠的資源回收之路面臨著利弊共存的事實——并不是所有的技術都能提升環境效益。與基線方案相比,盡管所有考察的改造方案都增加了項目的投資成本和運營成本,但所有替代方案都顯示出正的附加經濟價值(0.18-0.23歐元/m3),
他們認為這次研究的結果將幫助相關決策者在對污水廠進行升級時,能在環境和經濟成本考核方面更好的權衡取舍。
另一方面,作者們認為為了更好地揭示實施污水資源回收的綜合效益,在未來的研究中,他們會考慮考察非市場價值等指標的影響。
若想了解他們具體的評估和計算細節,可點擊微信最下方“閱讀原文”,或訪問以下網址查閱原文:
From wastewater treatment to water resource recovery: Environmental and economic impacts of full-scale implementation, Water Research 204 (2021) 117554,
https://doi.org/10.1016/j.watres.2021.117554
圖片
參考資料












