城市污水處理廠對實現水環境質量改善和污染總量減排擔負著重要作用,污水處理廠進水的水量水質變化關系到污水處理廠的穩定運行以及出水的穩定達標排放。由于污水水量和水質受到多種因素影響,城市污水處理廠進水的負荷變化較大,會對污水處理廠的正常運行和管理產生不利影響。因此,研究污水處理廠的進水變化規律及其特性,特別是針對工業廢水和生活污水混合且工業廢水占比較高的污水處理廠,有助于提高污水處理廠的運行效率和水平,對改善污水處理廠的出水水質以及降低運行費用也具有重要價值。
本文針對某工業廢水和生活污水混合的污水處理廠進水的水量水質指標開展相關研究,分析進水水量和水質的變化特征,考察COD與水量、氨氮、總磷、BOD之間的相關關系以及進水集中度的變化規律,提出了提高污水廠穩定運行的相關措施,以期為污水廠的穩定運行以及出水的穩定達標排放提供參考。

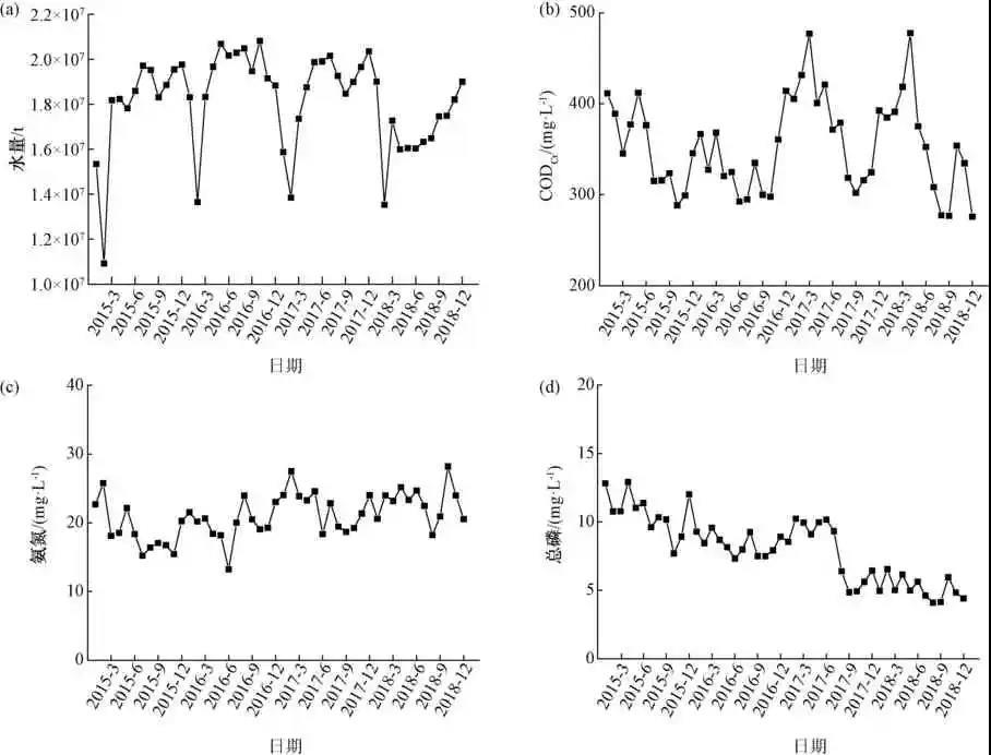
(a)水量;(b)COD;(c)氨氮;(d)總磷
圖1 某污水處理廠進水水量和水質的月變化規律
Part 1 研究方法
針對我國南方平原河網區域某城市的工業生活混合污水處理廠開展相關研究,該污水處理廠日處理設計能力為60萬t,其中工業廢水占比約50%。工業廢水的組成以印染廢水、造紙廢水、光伏電子廢水為主,主體工藝采用AO處理工藝。以該污水處理廠提供的2015年—2018年進水水質每日的實測數據為基礎開展相關研究,作圖分析采用Origin 9軟件。
大量的監測指標歷史數據可反映污水處理廠處理工藝單元的運行規律,因此,擬通過分析由監測指標歷史數據構成的時間序列散布特征,評估污水處理廠長期運行的穩定性,進而建立反映污水處理廠穩定性的評價指標體系和分析方法。蘇魏等開展的城市污水處理廠運行穩定性評估方法表明,進水的集中度能夠很好地代表進水的穩定性,因此,污水處理廠進水穩定性由集中度來表征,采用標準差系數來直接量度,如式(1)。

Part 2 結果與討論
2.1 進水水量和水質的月變化規律分析
該污水處理廠在2015年—2018年進水水量和水質COD、氨氮、總磷的變化規律如圖1所示。進水水量在不同月份的波動性變化較大,特別是每年的2月,水量降低顯著,每年的年末水量增加顯著。分析其原因,主要是該污水處理廠進水中工業廢水約占一半,工業企業生產的季節性變化導致進水水量的波動性較大。進水COD的波動變化也較大,其原因還是與工業廢水占比較高有關,當工業廢水排放中有大量高COD的廢水進水時,污水廠的進水COD也會較高。進水氨氮相對較穩定,基本在15~25 mg/L,其原因可能是工業廢水中的氨氮排放量較穩定。
孫艷等的研究表明,北京市某污水處理廠各污染指標隨季節變化呈現出較一致的規律性,7月—9月各水質指標濃度均明顯低于其他月份,其主要原因是夏季雨水導致進水流量增大。與之相比,該污水處理廠在雨季的進水水量與其他月份相比,也有升高的趨勢,而水質指標并不高,這也說明存在外來水量及降雨混入的影響。另外,進水的總磷近年來逐漸降低,主要是因為近年來的工業結構調整,排放磷的相關企業數量逐漸減少。
2.2 進水水量和水質的頻率分析
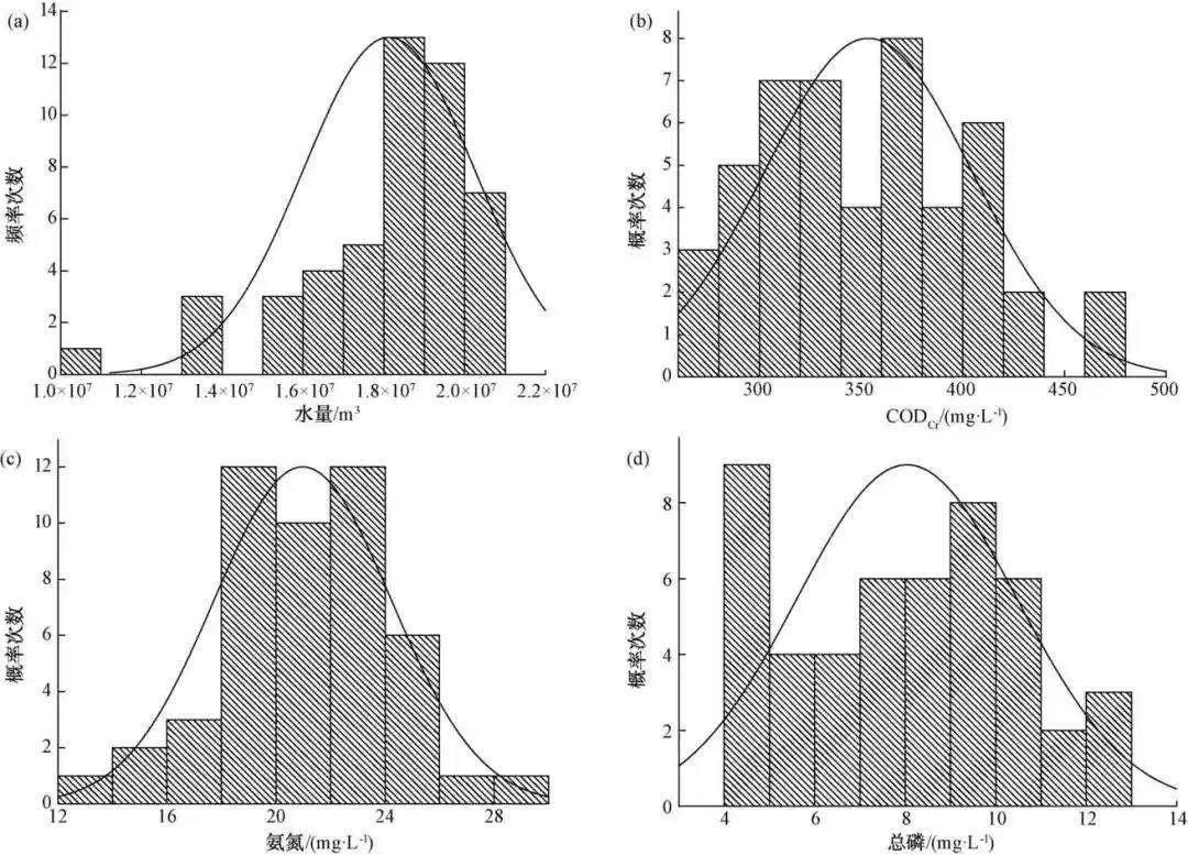
該污水處理廠在2015年—2018年進水水量和水質COD、氨氮、總磷的頻率分布規律如圖2所示。進水水量服從偏正態分布,水量的變化在1.8×108~2.1×108 m3/月。進水COD的變化區間各不相同,主要是因工業廢水排放的波動性較大。進水氨氮的變化服從正態分布,總磷的變化區間較平均,這可能是由于近年來影響磷排放的企業數量逐漸減少,磷的排放量穩定降低。
孫艷等的研究結果表明,北京市某污水處理廠的進水水質BOD濃度正態分布擬合曲線與標準正態分布曲線相比不是完全對稱曲線,且頻率分布的高峰向左偏移,長尾向右延伸,BOD濃度分布呈正偏態分布。與之相比,該污水處理廠的水量頻率分布規律也呈正偏態分布,而氨氮指標的分布規律接近于正態分布,COD和總磷的分布規律與正態分布關系不大。

圖2 進水水量和水質的概率分布分析
2.3 進水的BOD/COD特征分析
在城市污水中BOD/COD體現了可生物降解的有機物占總有機物量的比值,可在一定程度上預測污水的可生物降解性,常用來評價污水的可生化性。當BOD/COD<0.1時,不適于生物處理;當0.2<BOD/COD<0.4時,表明廢水中存在難生物降解性污染物;當0.4<BOD/COD<0.6時,適于生物處理。
該污水處理廠在2015年—2018年進水BOD/COD變化規律如圖3所示。進水的BOD/COD普遍位于0.3~0.34,由此說明,進水中含有大量難生化降解的污染物。孫艷等的研究結果表明,北京市某污水處理廠BOD/COD相關性顯著,R2可達0.81,其原因主要是污水的來源是生活污水,工業廢水量較少,可生化性較好。而該污水處理廠的進水可生化性較差,這就要求污水處理廠的處理工藝進行必要的調整,以保證最終的出水能夠穩定達標排放。

圖3 污水處理廠進水BOD/COD的變化特征分析
2.4 進水COD與相關指標的相關性分析
2015年—2018年,該污水處理廠進水COD與水量、BOD、氨氮、總磷的相關性規律如圖4所示。進水COD與進水水量以及總磷的相關性不顯著,分析原因可能是進水中工業廢水占比較高;總磷與COD排放的相關性不顯著,是由于排放含磷較高廢水的工業企業不定期排放;進水COD與BOD以及氨氮的相關性較顯著且穩定,這與進水中工業廢水占比較高的分析相一致。進水總磷波動較大,說明在污水廠的運行中需注意磷的去除情況,如有必要可增加強化除磷措施。
孫艷等的研究結果表明,COD與BOD的相關性較好,這與本研究的分析結果相一致。

(a)COD與水量;(b)COD與BOD;(c)COD與氨氮;(d)COD與總磷
圖4 污水處理廠進水COD與各指標的相關性分析
2.5 進水的穩定性分析
2015年—2018年,該污水處理廠進水水量、COD、BOD、氨氮、總磷的穩定性(集中度)如表1所示。該集中度將一年周期內每日的相關數據進行集中度值的計算。2015年—2018年,進水的水量逐漸穩定,而進水COD、BOD、氨氮、總磷的波動性較大。分析原因是工業企業排放的廢水在污水廠進水中的占比較大;進水中工業廢水比例較高且隨生產周期和季節性等因素波動大,嚴重時影響污水處理廠的穩定運行;此外,雨天時雨水接入污水管網造成污水廠進水沖擊,也會影響污水廠的穩定運行。
由于該市城區污水系統采用長距離污水管網輸送系統+末端聯合污水處理廠的運行模式,長距離管網系統中不同空間點位與不同污水輸送提升單元之間,存在生活污水或工業廢水流經時間差。因此,針對管網系統進行調查改造來減少外來水量接入,利用長距離管網系統的蓄容空間來緩解進水水質水量波動對污水處理廠運行的沖擊,對提高污水處理廠的進水穩定性具有重要作用。

進水穩定性分析結果表明,影響進水穩定性的主要原因是工業污染源的排放。因此,可通過以下措施提高進水穩定性:在污水泵站、管網與處理設施部署的物聯網傳感設備獲取動態數據,建立污染源、污水管網和污水廠監控系統,開發基于數學模型和深度學習的專家預測系統與自動反饋控制系統,通過動態監控預警和生活污水/工業廢水排放協同調控,以及雨季管網、泵站系統優化調控,有效緩解進水水量和水質波動的沖擊,進而提高污水處理廠的進水穩定性。
2.6 進水穩定性優化的相關策略
針對影響該工業生活混合污水處理廠進水穩定的工業廢水占比高、水量水質波動大的突出問題,調查影響進水沖擊負荷的特征性工業廢水的類別,進而根據特征污染物的排放濃度以及對污水廠穩定運行產生影響的關鍵性指標進行分析。
在污水外排水量和污染負荷監測數據的基礎上,結合模型模擬不同降雨條件、不同季節、不同節假情況,對外來水量給管網帶來的沖擊影響進行評估,定量分析外來水量比例,建立污染源—污水管網—污水處理廠耦合的網廠聯合調控數學模型,依托工業污染源—污水管網—污水處理廠綜合調控與監管平臺,實現生活污水/工業廢水排放協同調度。
在雨季開展管網、泵站系統優化調控,顯著緩解了進水水量和水質波動的沖擊復合,進而提高污水處理廠的進水穩定性。例如,工業污染源—污水管網—污水處理廠綜合調控與監管平臺,在污水管網應急處理工況條件下,可采取管網調控的方法,減緩負荷沖擊到達污水廠進水的時間,以減少進水負荷變化對污水廠的沖擊;在雨季條件下,可通過提前預警減少管網負荷率,在降雨條件下減少對污水廠進水水量的沖擊;在工業廢水特殊超標排放的情況下,通過平臺的在線預警功能,啟動管網調控模型模擬方案,降低工業廢水對進水水質的影響,進而提高進水的穩定性。由表1可知,該工業生活混合污水處理廠2018年進水水量和水質與前幾年的情況相比,進水的水量和水質的穩定性均得到了大幅提高。
另外,在該污水處理廠內部,針對工業廢水占比高、水量水質波動大等難題,以穩定達標排放為目標,還充分利用了AAO處理工藝,開展低碳氮比、低碳源品質城鎮混合污水強化脫氮除磷、基于粉末載體吸附功能的多級活性污泥-生物膜耦合污水處理、原位生物強化深度脫氮等關鍵技術,確保了污水廠出水全面實現出水穩定,達到《城鎮污水處理廠污染物排放標準》(GB 18918—2002)一級A的排放標準。例如,從出水的水質指標來看,2017年和2018年出水COD的集中度分別為0.16和0.09,出水氨氮在1 mg/L以下的天數占當年天數的比例分別為80%和90%。由此表明,進水穩定度的提高對污水處理廠的穩定達標起到了較好的效果。
Part 3 小結
(1)該工業生活混合污水處理廠的進水水量和水質的變化特征具有明顯的周期性,特別是每年2月,水量大幅降低;工業廢水占比較高,進水的可生化性較差,BOD/COD普遍位于0.30~0.34,表明廢水中含有大量難生化降解的有機污染物;進水水量、COD和氨氮的穩定性從2015年—2018年呈逐年提高的趨勢。
(2)基于建立的工業污染源—污水管網—污水處理廠綜合調控與監管平臺,以及生活污水/工業廢水排放的協同調度以及雨季管網、泵站系統的優化調控,能夠有效緩解進水的水量和水質波動的沖擊負荷,進而提高污水處理廠的進水穩定性,可為污水廠的穩定運行以及出水的穩定達標排放提供參考。
個人介紹

曾旭,男,博士,副研究員,同濟大學環境科學與工程學院。
研究方向:區域水環境綜合治理。主要從事水污染控制理論與技術研究工作。
E-mail:zengxu2006@163.com。
更多信息
曾 旭1,王榮昌1,*,馬翠香1,張榮斌2,馬暉斌2,韓 明2,陸海濤2
(1. 同濟大學環境科學與工程學院,同濟大學長江水環境教育部重點實驗室,上海 200092;2. 嘉興市聯合污水管網有限責任公司,浙江嘉興 314000)
注:本文發表在《凈水技術》2020年第5期“水體污染控制與治理”科技重大專項成果專欄,有刪減。
來源:凈水萬事屋












